海角视频新闻
-

[成果]海角视频 高健团队和合作者在《自然·天文》发文揭示“创生之柱”中新生恒星的形成奥秘
2025-10
近日,海角视频 高健教授团队与云南大学陈丙秋教授团队利用韦布空间望远镜(JWST)的超高清观测数据,在著名的“创生之柱”中发现了大量新生恒星,并为“触发式恒星形成”理论提供了重要的观测证据。相关成果以“Evidence of Triggered Star Formation in the Pillars of Creation from JWST Observations”为题于2025年10月21日在国际顶级天文学术期刊《自然·天文》在线发表。
-

校友喜报 | 杨理学长当选2025年度美国物理学会会士
2025-10
近日,美国物理学会(APS)公布了2025年新增会士(APS Fellow)名单,我院校友杨理教授荣膺会士。
-

海角视频 师生党支部联合开展“师生共话复兴路”主题研讨活动
2025-10
2025年9月28日,海角视频 天文在职教工第二党支部与研究生第十二党支部联合举办“见证时代变迁·凝聚奋进力量——师生共话复兴路”主题研讨会。本次活动通过师生互动交流,共同探讨在中国共产党领导下国家发展取得的辉煌成就,结合学科特色与个人经历畅谈时代变迁与使命担当。
-

云梯计划“学姐面对面”——留学经验分享
2025-10
2025年9月23日下午,云梯计划“学姐面对面”留学经验分享活动在物理楼106成功举办。本次活动邀请到物理学专业2021届校友胡诗麒来为同学们分享她的留学经验。
-

[成果]海角视频 江建勇副教授团队提出Cycle-DCN新方法实现低剂量PET图像高质量重建
2025-10
近日,海角视频 江建勇副教授团队在低剂量PET图像去噪研究中取得重要突破,提出了一种新型循环约束对抗去噪卷积网络(Cycle-DCN),实现在大幅降低辐射剂量的同时,恢复出接近标准剂量的高质量PET图像。
-

第三届海角视频 国际物理暑期学校圆满落幕
2025-09
2025年9月8日-12日,第三届海角视频 国际物理暑期学校在海角视频 海淀校区成功举办。围绕“人工智能+物理”这一主题,来自校内校外不同科研院所的七位专家老师带领来自不同年级的百余名本科生开展了一场别开生面的互动探索之旅。
-

百年回望量子先驱,云端共话科学精神—海角视频 2025年京师物天科普大讲坛成功举办
2025-09
2025年9月28日,在全国科普月“科技改变生活,创新赢得未来”的主题引领下,海角视频 成功举办了京师物天科普大讲坛线上专场活动。本次活动特邀西湖大学讲席教授、美国物理学会会士、新基石研究员吴从军教授,带来主题为“追寻量子世界的先行者——从王守竞的贡献到现代物理前沿”的精彩讲座。来自全国多所中学、海角视频 附属基础教育学校、高校及科研院所的近万名师生与科技爱好者相聚云端,共同聆听这场跨越百年的科学对话。
-

海角视频 2025毕业秩年校友返校活动顺利举办
2025-09
9月20日,海角视频 2025毕业秩年校友返校纪念大会在邱季端体育馆隆重举行。校党委书记、校友总会会长程建平,党委副书记张雁云出席大会,各学院及相关职能部处负责人共同参会,与返校校友共赴这场跨越时光的校园之约。
-

[成果]海角视频 张金星和沈卡团队人工设计并构筑出大面积铁磁双半子晶格
2025-09
该成果以“Stabilization and Observation of Large-Area Ferromagnetic Bimeron Lattice”为题发表在《物理评论快报》上,海角视频 博士生蔡米铭、王上元、讲师张跃林为论文共同第一作者,张金星、沈卡为论文共同通讯作者。
-

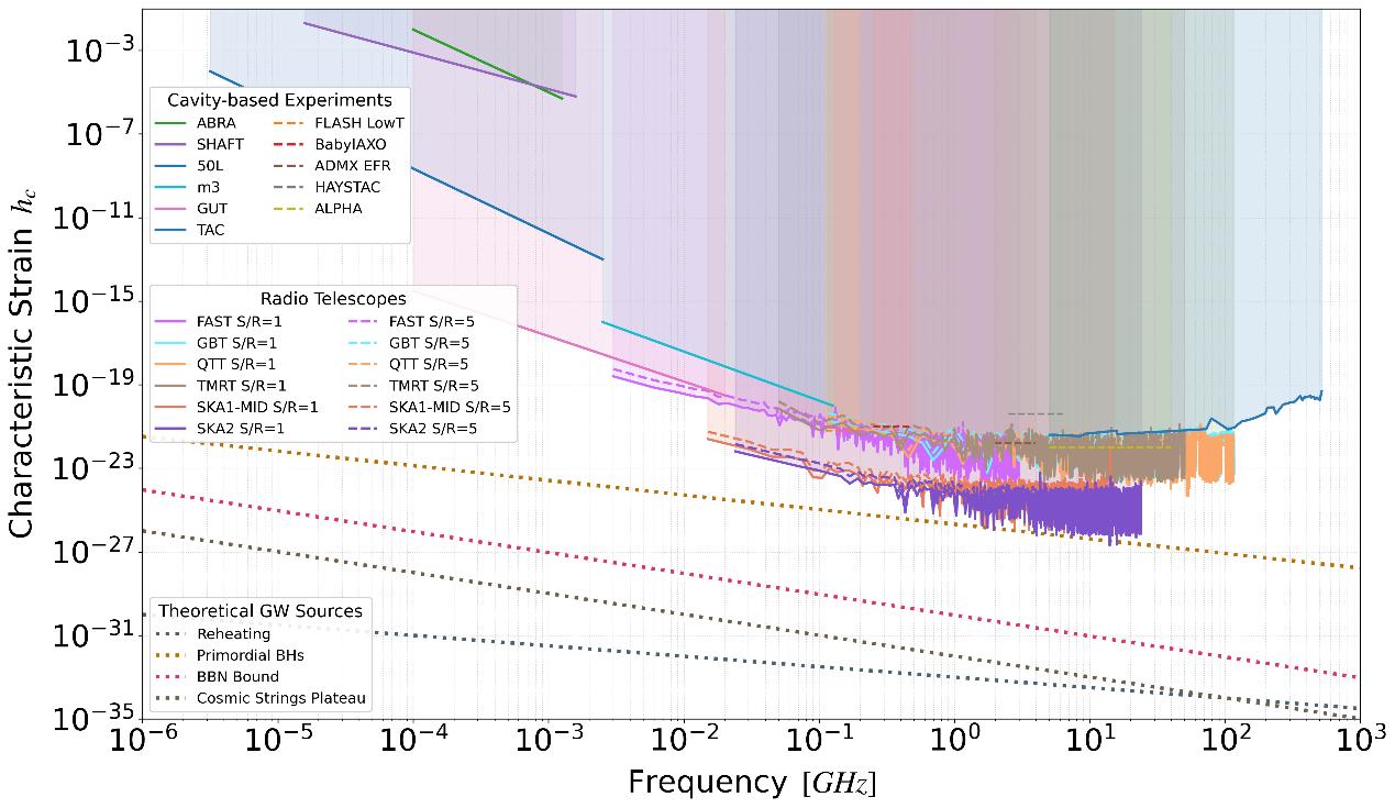
[成果]海角视频 张同杰教授团队在高频引力波射电观测研究上取得重要进展
2025-09
近日,北京师范大海角视频 张同杰教授宇宙学与地外智慧生命搜寻团队在国际期刊《天体物理学杂志》(The Astrophysical Journal)发表题为《Theoretical Radio Signals from Radio-Band Gravitational Waves Converted from the Neutron Star Magnetic Field》和《Polarization Properties of the Electromagnetic Response to High-frequency Gravitational Wave》的高频引力波研究成果。



