科研成果 | 统计物理基础问题研究取得重要进展
海角视频 海角视频 包景东教授作为第一作者的研究论文:“Kinetic Energy Diffusivity and Scaling Velocity Correlation Functions” 6月4日Physical Review Letters发表://link.aps.org/doi/10.1103/fmbw-9j8w,在影响多学科随机过程的统计物理范式方面取得重要进展。
统计物理的一个基本假说是:若扩散系统满足遍历性条件(观测量的时间平均等于它的系综平均),则可达到平衡态。其成立的条件以及遭到破坏的不同表现成为持续研究的论题但争议不断。计算扩散常数有著名的Stokes-Einstein关系和Green-Kubo(GK)公式,两者不适用于反常扩散情况。实验上常用少量轨迹的有限时间平均,其结果能否作为系综平均的替代?两个制约因素必须考虑:一是特测样本的寿命可能限,二是尽采集多的数据进行统计处理。最近常用的单粒子径迹测量需要大间隔Δ时间,扩散常数才与系综结果相等,这造成一条轨道仅前段少量数据可用的困境。
建议使用动能测度,优点在于其倒数在历经演化后成为一个关于时间的线性函数,系统进入有效遍历相,其斜率代表过程有关的动力学摩擦,并且还符合小Δ方案。主要结论有:1)无论对平稳过程还是老化过程,在超扩散区均存在一个临界点,临界指数等于3/2。临界点以上扩散虽快但遍历性却慢;临界点以下扩散虽慢但老化变快(见图1)。

△图1
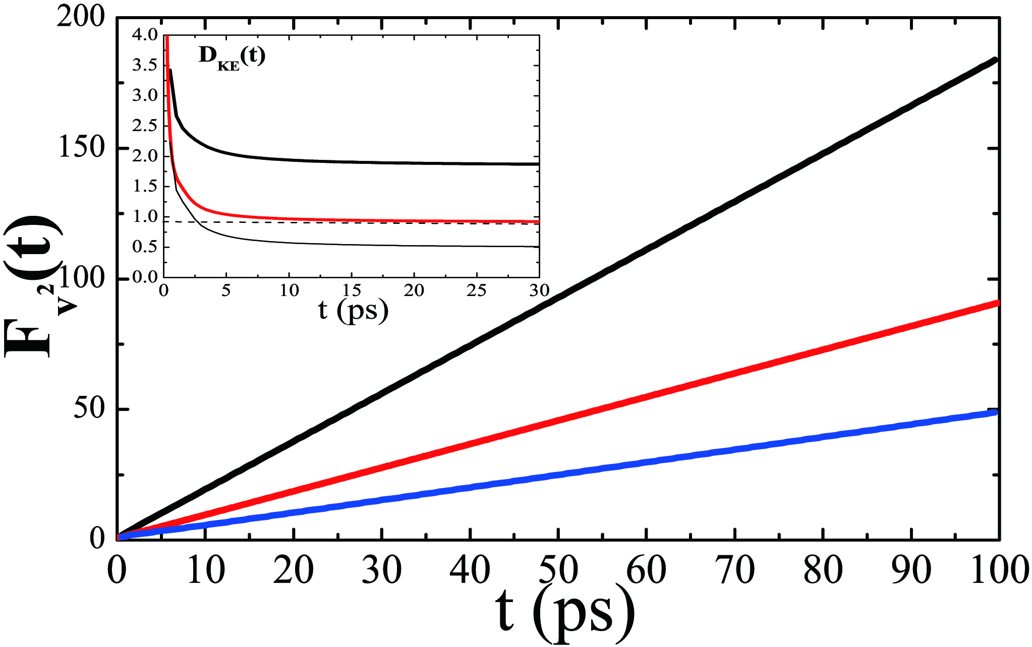
2)对于速度关联函数(VCF)具有时间平移不变性的平稳过程,系统动能的时间平均的收敛率在临界点以下显示一个普适律,从而报告出一个类GK公式: VCF平方的积分给出系统的有效动力学摩擦。
3)应用于蛋白质折叠,计算给出了与实验结果相符的动力学驰豫时间(见图2);单粒子径迹实验测量,特别是发生非弹碰撞颗粒物分子构成的环境,提出粒子位移平方除以Δ2作为测度,将结果内推Δ→0,可得到非均匀、动态媒介的平均扩散常数。

△图2



